Discover specialized suppliers for multi-component injection molding on Techpilot. Our platform connects buyers with suppliers who use advanced technologies to manufacture high-quality multi-component parts. Use the e-sourcing process to find the best suppliers.
Find the ideal supplier in just 1 minute
Communicate directly with buyers
Unique market price comparison to realize the best prices
Existing processes, systems and suppliers can be easily integrated.
Buyers use the platform completely free of charge

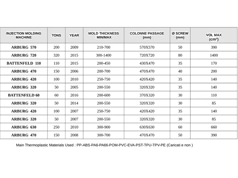
TECNOSTAMP SRL is an italian company of plastic injection moulding, located in Feletto in the province of Turin. We are known for our professionalism, quality and flexibility, and for our great ability to produce complex items. We offer our clients value-added services, we are able to design, produce and assemble all of our products and related components. The TECNOSTAMP SRL was founded in 1963 as a mechanical company for the manufacturing of molds, but over the years the company has specialized in the plastic injection molding and recently in the construction of prototypes. Our team is composed of professionals with many years of experience and specialized young people who have brought to the company innovative ideas to face the challenges of a changing market. Our Company operates in 3000m2 and currently has 12 injection molding machines from 50 to 320 tons, assisted by manipulators, robots and specific assemblies for the production of precision technical items, industrial articles and design articles for many sectors. The monitoring of the molding process is continuous, in order to guarantee the delivery of the product to the customer with the highest quality level. To this end, in 2018 TECNOSTAMP srl confirmed the quality certification UNI-EN ISO 9001: 2015. The Plus of the company is the speed and flexibility in the answers to both commercial and technical questions; in the delivery of orders; in adapting and modifying production when they undergo sudden variations with a tailor-made approach according to the Customer's supply and logistics needs, guaranteeing maximum production reactivity.All this thanks to an entrepreneurial vision that follows the model of "lean production", that is, aiming at production simplification through the flexibility and involvement of all company functions in the design and production phases.
Founded
1963
Employees
10 - 20
Certifications
FELETTO
Italy - 10080

Activity of the company: Manufacturing and design of plastic mould components. Fully automatized injection moulding machines. ARIES-IPSA offers a global solution to its clients: from the conception and development of the parts, to series manufacture. We have a wide range of plastic injection machines that allow us to manufacture technical parts for different industry branches, as automotive, pharmaceutical, railways, air conditioning and different industry parts. All types of termoplastic materials. We have an assembly area where we use other techniques as pad-printing, silk-screen printing and painting. Subcontracting activity: • 20 horizontal or vertical injection machines between 30 and 1.000 TM. • Assembling of sub-assemblies and mechanical sets with plastic parts, in automatic and manual lines. • Mould and die design. Stable pool of mould manufacturers in Spain and Portugal. • Assembly tools design and construction. • IML techonology. • Clean Room.
Founded
1957
Employees
50 - 100
Certifications
Fuenlabrada (Madrid)
Spain - 28942

Our strength: Complete solutions from a single source of creative, flexible and dedicated staff. Competent in the following areas: Development with integrated prototype Construction Toolmaking Punch Welding Hardening Vibratory Finishing Plastics Technology Assembly of components
Founded
1981
Employees
100 - 200
Certifications
Göppingen
Germany - 73037

Processing engineering plastics Two-component injection molding technology to 250g shot weight Mold size 600 x 600mm Closing forces up to 110t Component injection molding technology to 350g shot weight Mold size 900 x 800 mm Clamping forces from 50 to 200t All-electric injection molding machines Components: Engineering Plastics Shot weight to 250g Closing forces up to 110t Form size to 600 x 600 mm Component spray technology Engineering Plastics Shot weight to 350g Form size to 900 x 800mm Clamping forces from 50 to 200t All-electric injection molding machines Mold construction / construction All forms are designed at home. Form size to 900 x 600 mm Reusable cups Reusable cups in sizes 0.25 L / 0.3 L / 0.5 L very stable design Prices graded according to quantity on request.
Founded
1997
Employees
20 - 50
Certifications
Bizau
Austria - 6874
Would you like to know which suppliers are ideally suited to your requirements?
Register now and submit your request.
Founded
1983
Employees
50 - 100
Certifications
Goirle
Netherlands - 5015 HS

Modern production technology, and highly qualified personnel connected to a QM system according to DIN EN ISO 9001 ensure highest quality and reliability. Our vertically and horizontally operating CNC machining centers for milling and turning are perfectly equipped with fast pallet and tool changers. We manufacture and assemble complete modules and process all machinable materials such as aluminum, stainless steel, steel, brass, plastics and special materials. We turn workpieces up to a diameter of 180mm. Our CAM solution automatically creates us the machine programs to customer specifications or according to our designs. In connection with the most modern DNC data transfer we are able to create complex machine programs in the shortest time and to transfer them to the appropriate machine to delay, start production can.
Founded
Employees
10 - 20
Certifications
Neuhausen ob Eck
Germany - 88512

ASK CNC is a small but ambitious CNC machining business specializing in precision manufacturing. Operating from our workshop with one CNC machine, we produce high-quality, custom-made components tailored to our clients' needs. While we currently work with a single machine, our goal is to advance and expand our operations. We are dedicated to growing our capabilities, aiming to add more machines and enhance our services to meet the evolving demands of our clients. Partner with ASK CNC for precision, reliability, and a shared vision of progress. Contact us today to turn your ideas into reality!
Founded
2022
Employees
< 5
Certifications
Kotor Varos
Bosnia & Herzegovina - 78223

Your company is looking for one Manufacturer of thermoplastic parts? We are your solution! Why Halka GmbH? We as Halka GmbH have made it our mission to satisfy our customers with state-of-the-art technology and efficient solutions that are both environmentally conscious and economical. Our core competences are: • Injection molding process • series production
Founded
2018
Employees
< 5
Certifications
Leingarten
Germany - 74211

Serap Kalıp is organised in 2005 to produce manufacture of plastic injection mold, in Esenyurt – İstanbul. Organiser, Nafız Şan, of our company at Beko Electronics as a Molding Room Specialist. After retired he entered the sector in Fatih industrial estate in 2005. He started with milling, grinding, turning lathes plastic part design and plastic injection. In 2008, he widen his scope with adding to company 3 pieces plastic injection machine, 2 pieces cnc turning machine and advanced technological softwares. In company there are 2 unit SOLIDWORKS 2009 CAD program, so we can do mold design in PARASOLID, IGES, STEP, PRO E, UG, CATIA GRAPHİCS, DWG, DXF form which comes from our customers. With POWERMILL 9, in CNC we can transfer the Cam Works from digital environment to reality.
Founded
2006
Employees
20 - 50
Certifications
ISTANBUL
Turkey - 34510

Nexa3D is a leading manufacturer of industrial 3D-printers, and provides solutions for a wide range of industries. Injection mould tooling is among the key focus areas, and Nexa3D is emerging as a leader in 3D-printed injection mould tooling technologies. Freeform Injection Molding - a company flagship product - has been adopted by industry leaders such as Wilson Sporting Goods, PepsiCo, Fraunhofer and Alpine Advanced Materials, and allows injection moulders to sustainably reduce pilot tooling costs and lead-times.
Founded
Employees
50 - 100
Certifications
Taastrup
Denmark - 4040

MS is a company that specializes in plastic and metal processing. With many years of experience in the industry, we offer tailor-made solutions for companies in various industries. Our team of highly trained professionals works with the latest technology to produce high-quality products. From design and development to production and assembly, we place great value on precision and reliability. Our goal is to offer our customers individual solutions and to optimally implement their requirements.
Founded
2015
Employees
10 - 20
Certifications
Mushtisht
Kosovo - 23000

The profile includes the manufacture of precision technical parts of commercially available thermoplastic and thermosetting plastics in injection molding and pressing methods and their completion and packaging. Particular attention is paid to customer-specific advice and appealing product design. An exposed position the company takes a particularly in the production of molded parts for electrical, electro-acoustics, safety and materials handling as well as sleeves for the textile industry. In addition, increasingly being manufactured molded parts for automotive engineering in the automotive and railway sectors. In the area of thermoplastic engineering plastics, mainly PC, ABS, PA, PP, PE, POM and elastomers are processed (except PVC).
Founded
1898
Employees
20 - 50
Certifications
Strausberg
Germany - 15344

Masterpiece Technologies has put together a team that specializes in providing technological manufacturing services, from idea to mass production, with a multidisciplinary approach. Collaboration between our professionally competent departments ensures that our customers meet deadlines in an efficient, cost-effective fashion. With more than 50 years of combined experience of designing and creating unique parts and assemblies for complex projects for a variety of industries such as the Aerospace, Communication, Defense and Medical disciplines, we believe now it is the right time to expand our business abroad and establish a company in the Netherlands to serve the European market. With a singular customer acquisition strategy, our entrepreneurial, experienced and ambitious team has developed an efficient unique outsourcing business model.
Founded
Employees
50 - 100
Certifications
Amsterdam
Netherlands - 1105

We are a familiar mouldmaker companie specialised in technical moulds . Our staff is young but skilled with hight academic degree, and We can offer our experience in injection moulds of thermoplastics and thermosets with one material or bi-material at once.
Founded
1999
Employees
5 - 10
Certifications
Caranguejeira
Portugal - 2420-151

We are Slovenian producer of different plastic components. Our core competences are injection technology, painting technology, laser engraving technology, our own toolshop and assembly department.
Founded
1993
Employees
100 - 200
Certifications
Laško
Slovenia - 3270
Would you like to know which suppliers are ideally suited to your requirements?
Register now and submit your request.

Be made of plastic solutions When thermoplastic plastic injection we are in our element. When it comes to precision, quality, performance and efficiency, we are not looking to compromise but the perfect solution. The art forms of various materials quality to bring them in design and color, we still do not understand as a craft combined with modern technology. The result is the best solution for your individual needs - from separate technical injection molded part, via multi-component parts to manufacturing in the clean room and other special methods such as the gas injection technology. Complete solutions are a puzzle of many individual tasks The task of supplying companies has changed more and more over the last few years: we handed down decades ago almost exclusively single injection molded parts, we have grown today into a supplier of components and systems. on the perfect production of injection molded parts, we offer up to the delivery of assembled and tested modules, all the ways to meet the increased demands. The basis for tailor-made applications For the production of technically sophisticated injection molded parts, it is necessary in accordance with high quality tools to use. For this, our completely the newly positioned tooling around 1,200 m² optimum possibilities. Highly trained professionals realize that by using the most modern manufacturing equipment. From the data input through tool design, tool from the creation to sampling, we offer everything from a competent source. Assembly and finishing devices are also created in the most precise quality as measuring and testing devices. Why do we put emphasis on value-added It is crucial, with whom you are dealing.We help them to fulfill their tasks easier. Whether it is the optimal tool design or the plastic-based design of injection molded parts or assemblies, a conversation with us as your reliable partner always leads to pre-optimal solutions. That is why we place great emphasis on close, trusting and personal collaboration with our customers. You can expect a comprehensive partnership from the first meeting on the common solution to manufacturing and delivery. With measurable results, technically and economically tailored to your requirements. Allows us to offer more - more value for your value
Founded
1960
Employees
200 - 500
Certifications
Bad Dürrheim
Germany - 78073

TST Plastic technologies is a skilled Italian company based in Northern Italy with over 40 years of expertise in thermoplastic articles’ injection molding . We offer end-to-end solutions, from co-design and mold construction to the production of customized thermoplastic components. Our services portfolio include product engineering, rapid prototyping, and the development of advanced molds for mono-injection (1K), bi-injection (2K), and tri-injection (3K) processes, as well as over-molding and In Molding Labeling (IML). We have consolidated references in the supply of injection molded component for the Medical Industry, compliant with ISO 13485 rules, in Clean Room ISO 7
Founded
Employees
50 - 100
Certifications
Volpiano
Italy - 10088

We are a cable manufacturer and offer partially and fully automatic assembly of cables and strands with a cross section of 0.12 - 16 mm² with different cable ends in accordance with customer-specific requirements. Our portfolio also includes the shaping of strands and sensitive components such as circuit boards. Our products meet the highest standards of quality and durability and are manufactured cost-effectively thanks to our Tunisian subsidiary.
Founded
Employees
50 - 100
Certifications
Neustadt an der Orla
Germany - 07806

Welcome to KOVI GmbH. As a plastic injection molding company from Holdorf in Lower Saxony, we have decided to think differently about supplier relationships. Because not only must the price be right, but the overall package. 100% product quality. 100% punctuality. 100% value for money. Our claim: We want to be at the absolute best price-performance ratio at all times. The happy medium for an organization that is as effective and efficient as possible. Sophisticated production processes Sophisticated quality management Lean organizational structure Consistent process optimization Modern management culture (bottom-up)
Founded
2020
Employees
10 - 20
Certifications
Holdorf
Germany - 49451

Mastertag produces parts for every need, technical, aesthetic, small, medium or large. All industrial realities can make use of our corporate professionalism, with particular attention to the following sectors: construction; electric; electronics and home accessories. Furthermore, to confirm the company's dynamism and flexibility, the series production of Mastertag can be completely adapted to the needs of any type of customer, satisfying requests for small and large quantities.
Founded
1975
Employees
20 - 50
Certifications
Faetano
Italy - 47896